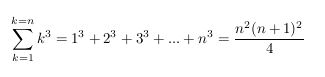
This problem depends on the mathematical formula of –
The sum of the cubes of the first n natural numbers :

#include <bits/stdc++.h>
#define pf printf
#define sf(a) scanf("%d",&a)
#define sfl(a) scanf("%lld",&a)
#define sff(a,b) scanf("%d %d",&a,&b)
#define sffl(a,b) scanf("%lld %lld",&a,&b)
#define sfff(a,b,c) scanf("%d %d %d",&a,&b,&c)
#define sfffl(a,b,c) scanf("%lld %lld %lld",&a,&b,&c)
#define sffff(a,b,c,d) scanf("%d %d %d %d",&a,&b,&c,&d)
#define sffffl(a,b,c,d) scanf("%lld %lld %lld %lld",&a,&b,&c,&d)
#define sfffff(a,b,c,d,e) scanf("%d %d %d %d %d",&a,&b,&c,&d,&e)
#define sfffffl(a,b,c,d,e) scanf("%lld %lld %lld %lld %lld",&a,&b,&c,&d,&e)
#define sfc(a) scanf("%c",&a)
#define ms(a,b) memset(a,b,sizeof(a))
#define pb(a) push_back(a)
#define pbp(a,b) push_back({a,b})
#define db double
#define ft float
#define ll long long
#define ull unsigned long long
#define ff first
#define ss second
#define sz(x) x.size()
#define qu queue
#define pqu priority_queue
#define vc vector
#define vi vector<int>
#define vll vector<long long>
#define pii pair<int,int>
#define pis pair<int,string>
#define psi pair<string,int>
#define all(x) x.begin(),x.end()
#define CIN ios_base::sync_with_stdio(0); cin.tie(0)
#define max3(a, b, c) max(a, b) > max(b, c) ? max(a, b) : max(b, c)
#define min3(a, b, c) min(a, b) < min(b, c) ? min(a, b) : min(b, c)
#define loop0(i,n) for(int i=0;i<n;i++)
#define loop1(i,n) for(int i=1;i<=n;i++)
#define loopab(i,a,b) for(int i=a;i<=b;i++)
#define REV(i,n) for(i=n; i>=0; i--)
#define stlloop(x) for(__typeof(x.begin()) it=x.begin();it!=x.end();it++)
#define gcd(a, b) __gcd(a, b)
#define lcm(a, b) ((a)*((b)/gcd(a,b)))
#define case1(z) cout<<"Case "<<z<<": "
#define case2(z) printf("Case %d: ",z)
#define PI 3.14159265358979323846264338328
#define valid(tx,ty) tx>=0 && tx<r && ty>=0 && ty<c
#define intlim 2147483648
#define MAX 1000000
#define inf 10000000
/*------------------------------Graph Moves----------------------------*/
//const int fx[]={+1,-1,+0,+0};
//const int fy[]={+0,+0,+1,-1};
//const int fx[]={+0,+0,+1,-1,-1,+1,-1,+1}; // Kings Move
//const int fy[]={-1,+1,+0,+0,+1,+1,-1,-1}; // Kings Move
//const int fx[]={-2, -2, -1, -1, 1, 1, 2, 2}; // Knights Move
//const int fy[]={-1, 1, -2, 2, -2, 2, -1, 1}; // Knights Move
/*---------------------------------------------------------------------*/
using namespace std;
int main()
{
CIN;
// freopen("in.txt","r",stdin);
// freopen("out.txt","w",stdout);
ull n;
while(cin>>n)
{
ull ans=(n*n*(n+1)*(n+1))/4;
cout<<ans<<endl;
}
return 0;
}